文字を使った証明 清水塾
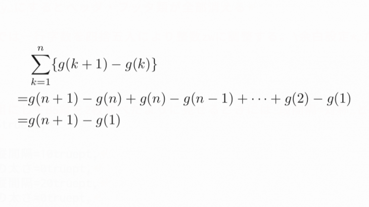
和の中抜けとは?分数や連続整数の積の総和を求める方法を例題付きで紹介! この記事を読むとわかること ・数列の和の中抜けとはどんな手法か ・分数数列の総和の求め方 ・連続整数の積の総和の和の中抜けを用いた求め方 ・等差数列× 整数の証明問題は、文字設定の仕方によって回答の仕方も異なります。 しかし、問題集などの答えはページ数などの関係上、基本的に1パターンしか載っていません。 連続する3つの などの場合は、文字設定のパターンも多いため、問題集の答えとは違って
連続する整数の和 証明
連続する整数の和 証明- ある整数nをいくつかの連続する整数の和で表すことができる組み合わせの個数をK(n)とするとK(n)はnの奇数の約数の個数に一致するのは何故ですか?証明お願いします。 例)n=15の アンサーズ ある整数nをいくつかの連続する整数の和で表すことができる組み合わせの個数をK(n 回答受付 連続する10個の自然数の和とは、例えば とか のようなものです。上の和は55ですし、下の和は715です。 こんな計算が、あっという間にできるというのがテレビでやってたんです。 等差数列の和 普通に考えたら、これは等差数列の和です。初項を 、末項を
三石 数学塾 連続整数の和
連続する3つの整数の和の証明がわかる4ステップ 4ステップで証明できちゃうよ。 さっきの例題をといていこう! 連続する3つの整数の和が3の倍数になる訳を説明しなさい。 ただし、整数は正の数とする Step1 整数をnとする ある正の整数を「n」として 以下では,上記の定理を3つの方法で証明します。 整数論のルジャンドルの定理を用いる素直な方法 二項係数の意味を考える方法 二項係数と数学的帰納法を用いる方法 ※ただし,連続する n n n 個の整数がすべて自然数の場合のみ証明します。 0 0 0 をの問題に関する複数の証明の存在について, 以下で明らかにしておく。 (1)「奇数の因子 = 整数の個数」(Mason ら) まず, Mason らのアイデアをまとめておく。 奇数の因子 (2K1) があって, N = F×(2K1) となるときには a Fを中心とした2K1 個の整数の和とし て表現できる b さらに0や負の数が入ってい
このことの証明は入り組んでいるので省きますが,1以外の奇数の約数と連続する整数の和で表わす方法がどう関係しているのかについての説明をしておきましょう。 12の場合12の1以外の奇数の約数は3です。 15の場合15の1以外の奇数の約数は3,5,15です。 18の場合18の1以外の奇 連続する自然数の和を考える・偶数と奇数の積がポイント (横浜国立大15理系第4問) 自然数を 2 個以上の連続する自然数の和で表すことを考える。 たとえば,42 は 34\cdots9 34 ⋯9 のように 2 個以上の連続する自然数の和で表せる。 次の問いに答えよ。 中 1 数学の「文字式の利用」で「3 つの連続する和」に関する文章題があります。 命題 $3$ つの連続する整数の和は $3$ の倍数になる。 中 1 数学の中間・期末試験ではこの命題の証明問題がよく出ます。証明に入る前に、命題が正しいことを確認しましょう。
連続する整数の和 証明のギャラリー
各画像をクリックすると、ダウンロードまたは拡大表示できます
![]() 連続する2つの奇数の和は4の倍数である ということを文字を用いて説明しなさい Clearnote | 連続する2つの奇数の和は4の倍数である ということを文字を用いて説明しなさい Clearnote | ![]() 連続する2つの奇数の和は4の倍数である ということを文字を用いて説明しなさい Clearnote |
連続する2つの奇数の和は4の倍数である ということを文字を用いて説明しなさい Clearnote | ![]() 連続する2つの奇数の和は4の倍数である ということを文字を用いて説明しなさい Clearnote | ![]() 連続する2つの奇数の和は4の倍数である ということを文字を用いて説明しなさい Clearnote |
連続する2つの奇数の和は4の倍数である ということを文字を用いて説明しなさい Clearnote | ![]() 連続する2つの奇数の和は4の倍数である ということを文字を用いて説明しなさい Clearnote | ![]() 連続する2つの奇数の和は4の倍数である ということを文字を用いて説明しなさい Clearnote |
「連続する整数の和 証明」の画像ギャラリー、詳細は各画像をクリックしてください。
![]() 連続する2つの奇数の和は4の倍数である ということを文字を用いて説明しなさい Clearnote | ![]() 連続する2つの奇数の和は4の倍数である ということを文字を用いて説明しなさい Clearnote | ![]() 連続する2つの奇数の和は4の倍数である ということを文字を用いて説明しなさい Clearnote |
連続する2つの奇数の和は4の倍数である ということを文字を用いて説明しなさい Clearnote | ![]() 連続する2つの奇数の和は4の倍数である ということを文字を用いて説明しなさい Clearnote | ![]() 連続する2つの奇数の和は4の倍数である ということを文字を用いて説明しなさい Clearnote |
![]() 連続する2つの奇数の和は4の倍数である ということを文字を用いて説明しなさい Clearnote | ![]() 連続する2つの奇数の和は4の倍数である ということを文字を用いて説明しなさい Clearnote | 連続する2つの奇数の和は4の倍数である ということを文字を用いて説明しなさい Clearnote |
「連続する整数の和 証明」の画像ギャラリー、詳細は各画像をクリックしてください。
![]() 連続する2つの奇数の和は4の倍数である ということを文字を用いて説明しなさい Clearnote | 連続する2つの奇数の和は4の倍数である ということを文字を用いて説明しなさい Clearnote | ![]() 連続する2つの奇数の和は4の倍数である ということを文字を用いて説明しなさい Clearnote |
![]() 連続する2つの奇数の和は4の倍数である ということを文字を用いて説明しなさい Clearnote | 連続する2つの奇数の和は4の倍数である ということを文字を用いて説明しなさい Clearnote | 連続する2つの奇数の和は4の倍数である ということを文字を用いて説明しなさい Clearnote |
連続する2つの奇数の和は4の倍数である ということを文字を用いて説明しなさい Clearnote | ![]() 連続する2つの奇数の和は4の倍数である ということを文字を用いて説明しなさい Clearnote | 連続する2つの奇数の和は4の倍数である ということを文字を用いて説明しなさい Clearnote |
「連続する整数の和 証明」の画像ギャラリー、詳細は各画像をクリックしてください。
連続する2つの奇数の和は4の倍数である ということを文字を用いて説明しなさい Clearnote | ![]() 連続する2つの奇数の和は4の倍数である ということを文字を用いて説明しなさい Clearnote | ![]() 連続する2つの奇数の和は4の倍数である ということを文字を用いて説明しなさい Clearnote |
![]() 連続する2つの奇数の和は4の倍数である ということを文字を用いて説明しなさい Clearnote | 連続する2つの奇数の和は4の倍数である ということを文字を用いて説明しなさい Clearnote | ![]() 連続する2つの奇数の和は4の倍数である ということを文字を用いて説明しなさい Clearnote |
![]() 連続する2つの奇数の和は4の倍数である ということを文字を用いて説明しなさい Clearnote | ![]() 連続する2つの奇数の和は4の倍数である ということを文字を用いて説明しなさい Clearnote | ![]() 連続する2つの奇数の和は4の倍数である ということを文字を用いて説明しなさい Clearnote |
「連続する整数の和 証明」の画像ギャラリー、詳細は各画像をクリックしてください。
連続する2つの奇数の和は4の倍数である ということを文字を用いて説明しなさい Clearnote | 連続する2つの奇数の和は4の倍数である ということを文字を用いて説明しなさい Clearnote | ![]() 連続する2つの奇数の和は4の倍数である ということを文字を用いて説明しなさい Clearnote |
![]() 連続する2つの奇数の和は4の倍数である ということを文字を用いて説明しなさい Clearnote | 連続する2つの奇数の和は4の倍数である ということを文字を用いて説明しなさい Clearnote | 連続する2つの奇数の和は4の倍数である ということを文字を用いて説明しなさい Clearnote |
![]() 連続する2つの奇数の和は4の倍数である ということを文字を用いて説明しなさい Clearnote | ![]() 連続する2つの奇数の和は4の倍数である ということを文字を用いて説明しなさい Clearnote | ![]() 連続する2つの奇数の和は4の倍数である ということを文字を用いて説明しなさい Clearnote |
「連続する整数の和 証明」の画像ギャラリー、詳細は各画像をクリックしてください。
連続する2つの奇数の和は4の倍数である ということを文字を用いて説明しなさい Clearnote | 連続する2つの奇数の和は4の倍数である ということを文字を用いて説明しなさい Clearnote | ![]() 連続する2つの奇数の和は4の倍数である ということを文字を用いて説明しなさい Clearnote |
連続する2つの奇数の和は4の倍数である ということを文字を用いて説明しなさい Clearnote | ![]() 連続する2つの奇数の和は4の倍数である ということを文字を用いて説明しなさい Clearnote | ![]() 連続する2つの奇数の和は4の倍数である ということを文字を用いて説明しなさい Clearnote |
連続する2つの奇数の和は4の倍数である ということを文字を用いて説明しなさい Clearnote | ![]() 連続する2つの奇数の和は4の倍数である ということを文字を用いて説明しなさい Clearnote | ![]() 連続する2つの奇数の和は4の倍数である ということを文字を用いて説明しなさい Clearnote |
「連続する整数の和 証明」の画像ギャラリー、詳細は各画像をクリックしてください。
連続する2つの奇数の和は4の倍数である ということを文字を用いて説明しなさい Clearnote | ![]() 連続する2つの奇数の和は4の倍数である ということを文字を用いて説明しなさい Clearnote | 連続する2つの奇数の和は4の倍数である ということを文字を用いて説明しなさい Clearnote |
![]() 連続する2つの奇数の和は4の倍数である ということを文字を用いて説明しなさい Clearnote | ![]() 連続する2つの奇数の和は4の倍数である ということを文字を用いて説明しなさい Clearnote | 連続する2つの奇数の和は4の倍数である ということを文字を用いて説明しなさい Clearnote |
![]() 連続する2つの奇数の和は4の倍数である ということを文字を用いて説明しなさい Clearnote | 連続する2つの奇数の和は4の倍数である ということを文字を用いて説明しなさい Clearnote | 連続する2つの奇数の和は4の倍数である ということを文字を用いて説明しなさい Clearnote |
「連続する整数の和 証明」の画像ギャラリー、詳細は各画像をクリックしてください。
![]() 連続する2つの奇数の和は4の倍数である ということを文字を用いて説明しなさい Clearnote | ![]() 連続する2つの奇数の和は4の倍数である ということを文字を用いて説明しなさい Clearnote | 連続する2つの奇数の和は4の倍数である ということを文字を用いて説明しなさい Clearnote |
![]() 連続する2つの奇数の和は4の倍数である ということを文字を用いて説明しなさい Clearnote | ![]() 連続する2つの奇数の和は4の倍数である ということを文字を用いて説明しなさい Clearnote | ![]() 連続する2つの奇数の和は4の倍数である ということを文字を用いて説明しなさい Clearnote |
連続する2つの奇数の和は4の倍数である ということを文字を用いて説明しなさい Clearnote | 連続する2つの奇数の和は4の倍数である ということを文字を用いて説明しなさい Clearnote | 連続する2つの奇数の和は4の倍数である ということを文字を用いて説明しなさい Clearnote |
「連続する整数の和 証明」の画像ギャラリー、詳細は各画像をクリックしてください。
![]() 連続する2つの奇数の和は4の倍数である ということを文字を用いて説明しなさい Clearnote | ![]() 連続する2つの奇数の和は4の倍数である ということを文字を用いて説明しなさい Clearnote | ![]() 連続する2つの奇数の和は4の倍数である ということを文字を用いて説明しなさい Clearnote |
![]() 連続する2つの奇数の和は4の倍数である ということを文字を用いて説明しなさい Clearnote | 連続する2つの奇数の和は4の倍数である ということを文字を用いて説明しなさい Clearnote | ![]() 連続する2つの奇数の和は4の倍数である ということを文字を用いて説明しなさい Clearnote |
![]() 連続する2つの奇数の和は4の倍数である ということを文字を用いて説明しなさい Clearnote | 連続する2つの奇数の和は4の倍数である ということを文字を用いて説明しなさい Clearnote | ![]() 連続する2つの奇数の和は4の倍数である ということを文字を用いて説明しなさい Clearnote |
「連続する整数の和 証明」の画像ギャラリー、詳細は各画像をクリックしてください。
![]() 連続する2つの奇数の和は4の倍数である ということを文字を用いて説明しなさい Clearnote | 連続する2つの奇数の和は4の倍数である ということを文字を用いて説明しなさい Clearnote | 連続する2つの奇数の和は4の倍数である ということを文字を用いて説明しなさい Clearnote |
![]() 連続する2つの奇数の和は4の倍数である ということを文字を用いて説明しなさい Clearnote | 連続する2つの奇数の和は4の倍数である ということを文字を用いて説明しなさい Clearnote | ![]() 連続する2つの奇数の和は4の倍数である ということを文字を用いて説明しなさい Clearnote |
連続する2つの奇数の和は4の倍数である ということを文字を用いて説明しなさい Clearnote | ![]() 連続する2つの奇数の和は4の倍数である ということを文字を用いて説明しなさい Clearnote | 連続する2つの奇数の和は4の倍数である ということを文字を用いて説明しなさい Clearnote |
「連続する整数の和 証明」の画像ギャラリー、詳細は各画像をクリックしてください。
![]() 連続する2つの奇数の和は4の倍数である ということを文字を用いて説明しなさい Clearnote | 連続する2つの奇数の和は4の倍数である ということを文字を用いて説明しなさい Clearnote | ![]() 連続する2つの奇数の和は4の倍数である ということを文字を用いて説明しなさい Clearnote |
![]() 連続する2つの奇数の和は4の倍数である ということを文字を用いて説明しなさい Clearnote | ![]() 連続する2つの奇数の和は4の倍数である ということを文字を用いて説明しなさい Clearnote | 連続する2つの奇数の和は4の倍数である ということを文字を用いて説明しなさい Clearnote |
![]() 連続する2つの奇数の和は4の倍数である ということを文字を用いて説明しなさい Clearnote | ![]() 連続する2つの奇数の和は4の倍数である ということを文字を用いて説明しなさい Clearnote | ![]() 連続する2つの奇数の和は4の倍数である ということを文字を用いて説明しなさい Clearnote |
「連続する整数の和 証明」の画像ギャラリー、詳細は各画像をクリックしてください。
![]() 連続する2つの奇数の和は4の倍数である ということを文字を用いて説明しなさい Clearnote | ![]() 連続する2つの奇数の和は4の倍数である ということを文字を用いて説明しなさい Clearnote | 連続する2つの奇数の和は4の倍数である ということを文字を用いて説明しなさい Clearnote |
![]() 連続する2つの奇数の和は4の倍数である ということを文字を用いて説明しなさい Clearnote | ![]() 連続する2つの奇数の和は4の倍数である ということを文字を用いて説明しなさい Clearnote |



































































0 件のコメント:
コメントを投稿